Toxicological Assessment of Gamma-Irradiated Tomatoes (Solanum lycopersicum) on Cardiorenal Functions in Male Wistar Rats
| Received 26 Jul, 2025 |
Accepted 15 Aug, 2025 |
Published 30 Sep, 2025 |
Background and Objective: The heart, kidneys, and blood vessels make up the cardiorenal system, which is essential for preserving fluid and electrolyte balance and guaranteeing efficient blood circulation. The tomato (Solanum lycopersicum) is high in bioactive substances, including lycopene, quercetin, and vitamin C, which enhance its health advantages. This study aims to assess the toxicological effects of gamma-irradiated tomatoes (Solanum lycopersicum) on male Wistar rats’ cardiovascular and renal systems. Materials and Methods: In this study, to assess the toxicological effects of gamma-irradiated tomatoes on cardiorenal functioning, six groups of eight male Wistar rats each were created. Group A was given ordinary feed (Control), whereas Group B was provided blended tomatoes (FBT) while groups C through F were given feed mixed with tomatoes irradiated at increasing intensities: 65 KV/25 mA (FBT65/25), 70 KV/30 mA (FBT70/30), 75 KV/40 mA (FBT75/40), and 80 KV/50 mA (FBT80/50), respectively. Rats’ body weight was tracked, and following the experiment, blood samples, hearts, and kidneys were excised for biochemical examinations. Lipid profiles, indicators of renal function, oxidative stress (MDA, GSH, SOD), inflammation (TNF-α, IL-6), cardiac metabolism (troponin, CK, LDH), and apoptosis (caspase-3) were among the investigations. Additionally, electrocardiograms were performed.The results of five measurements are shown as Mean±SD. Tukey’s post hoc test and one-way ANOVA revealed significant differences (p<0.05). GraphPad Prism 7.0 was used for the analysis. Results: The cardiorenal parameters of male Wistar rats changed significantly after exposure to gamma radiation from tomatoes. Rats given irradiation tomatoes had dose-dependent increases in blood triglycerides (TG) by 28-46 percent, Low-Density Lipoprotein (LDL) by 22-39 percent, and total cholesterol by 18-33 percent when compared to the control group. The reductions in cardiac and renal weights ranged from 12 to 25%, and they were substantial (p<0.05). Increased oxidative stress, inflammation, and apoptosis in cardiac and renal tissues were suggested by the 30-52% rise in inflammatory biomarkers TNF-α and IL-6 and the 40-60% increase in caspase-3 activity. Conclusion: These results suggest that by encouraging oxidative stress and inflammation, gamma-irradiated tomatoes may affect cardiorenal functioning.
| Copyright © 2025 Adeoye et al. This is an open-access article distributed under the Creative Commons Attribution License, which permits unrestricted use, distribution, and reproduction in any medium, provided the original work is properly cited. |
INTRODUCTION
The cardiovascular system is a system of interconnected heart and blood vessels that delivers blood to different parts of the body. It delivers oxygen and nutrients to tissues, removes metabolic waste, and plays a crucial role in the upkeep of various physiological functions1. Its primary role is the continuous delivery of oxygen from the lungs to body tissues via red blood cells, which supports cellular respiration and the production of energy. Additionally, the cardiovascular system supplies tissues with essential nutrients such as glucose, amino acids, and fatty acids needed for metabolic function and repair1. It also permits excretion of unwanted substances like carbon dioxide and urea, and facilitates the transport of hormones from endocrine glands to target tissues. Other important functions are the promotion of immune defense and temperature regulation in the body. Cardiovascular health is at the heart of overall well-being and can be ensured through an equilibrated diet, regular exercise, and the cessation of smoking and heavy alcohol use. Compromised cardiovascular function can lead to serious conditions like hypertension, atherosclerosis, and cardiac disease2.
Since 2004, when "heart and kidney interaction” was initially proposed, increasing attention has been given to cardiovascular and renal disease. These conditions are often interrelated, leading to higher morbidity, mortality, and disease burden3. The interplay of pathophysiology and physiology between the heart and kidney is bidirectional: While renal function takes it for granted that the cardiac output is sufficient for blood perfusion, the heart, conversely, depends upon the kidneys to adjust fluid, electrolyte, and blood pressure4.
Fruits and vegetables are reservoirs of vitamins, minerals, dietary fiber, phenolics, and other nutrients that promote health and disease prevention5. Alas, their high perishable nature lies behind staggering post-harvest losses, necessitating efficient preservation techniques6. Traditional thermal food processing technologies, boiling, frying, and roasting efficient as they are in preventing microbial inhibition, tend to compromise nutritional quality and even generate harmful byproducts6. Non-thermal food preservation technologies, such as food irradiation, offer a solution that maintains both sensory and nutritional quality and prevents allergenicity and microbial contamination. Food irradiation is a process whereby ionizing radiation is used to inactivate microorganisms without degrading food quality considerably.
Tomatoes (Solanum lycopersicum) are among the world’s most widely consumed vegetables, representing approximately 18% of Nigerian daily vegetable intake7. With high levels of bioactive compounds like lycopene, carotenoids, and flavonoids, tomatoes provide antioxidant activity and disease protection against cardiovascular disease, obesity, and diabetes8. Lycopene has been particularly recognized for its potential to reduce oxidative stress and systolic blood pressure, and to prevent tumour growth9.
Though irradiation is useful, it may alter nutritional content and cause cellular reactions that are harmful. Of concern are DNA damage, inhibition of enzymes, and disruption of membranes. Because the use of irradiated food is expanding, the toxicological evaluation of gamma-irradiated tomatoes on the cardiovascular and renal systems is important. This research will investigate the potential for irradiation to impact tomato bioactivity and extend its impact on oxidative stress, inflammation, and tissue injury within the heart and kidneys, ultimately providing the basis for safer food processing regulation and public health policy.
MATERIALS AND METHODS
Study area: This study was conducted at the Animal House of the Department of Physiology, Faculty of Basic Medical Sciences, Ladoke Akintola University of Technology, Ogbomoso, Oyo State, Nigeria, between April-August, 2024.
Experimental animals: For this investigation, 42 male Wistar rats weighing an average of one kilogram were employed. At the Physiology Department’s animal facility at Ladoke Akintola University of Technology, Ogbomoso, the rats were kept separately in different cages. Water and ordinary laboratory feed were given to them. The Oyo State Ministry of Health granted ethical permission for the study (Reference No. 13/479/44221B).
Arrive statement: All animal experiments are by the ARRIVE guidelines and s carried out in accordance with the U.K. Animals (Scientific Procedures) Act, 1986 and associated guidelines, EU Directive 2010/63/EU for animal experiments, or the National Research Council’s Guide for the Care and Use of Laboratory Animals.
Collection and preparation of gamma-irradiated tomatoes: Fresh tomatoes were sourced from the Ladoke Akintola University of Technology, Ogbomoso farm. To guarantee constant radiation exposure, fresh tomatoes of the same size were chosen as part of the sample preparation process. Each batch was labeled with the dose, voltage, and current settings, and the tomatoes were put up in plastic trays that prevented contamination and permitted consistent gamma ray penetration. To provide accurate radiation dosages, a gamma irradiator equipped with a cobalt-60 or cesium-137 source was calibrated. To track the absorbed dose, dosimeters such as alanine or film dosimeters were positioned around the samples. The dosage rate was controlled by varying the voltage (65-100 kV) and current (μA to mA), with higher settings permitting faster irradiation. The necessary dose was used to calculate the exposure time. For instance, four hours were needed to administer a 2 kGy dosage at 0.5 kGy/hour. To guarantee consistent exposure, the samples were positioned on a revolving platform, and radiation leakage was stopped by shielding.
Experimental diet composition: To create the supplemented diet, 80 g of regular rat chow was thoroughly combined with 20 g of feed mixed with blended tomatoes (FBT) at different voltages and current10-13. These are illustrated in Table 1.
Treatment regimen: The tomatoes were chilled, kept in a controlled environment. Examination for alterations in composition and quality following irradiation has been previously documented, and phytochemical screening has been extensively reported10. The doses chosen were following Sombo et al.11 and these are 0.00 mGy (control), 0.10, 0.30, 0.61, 1.06 and 1.67 mGy.
Experimental design: Following their random assignment to one of six experimental groups, the rats were housed in individual cages with standard environmental conditions (temperature, humidity, and a 12 hrs light-dark cycle). To get used to their new surroundings, the animals had to acclimate for two weeks. They had unlimited access to water and meals during this period. Each rat received a single daily oral gavage of the designated drug for the next 56 days. Body weight measurement: Using a precision weighing scale, the rats’ initial body weights were noted and tracked every week until the study was over.
Euthanasia: Isoflurane was employed to put the rats to sleep. Euthanasia was verified by thoracotomy after the animals were first kept in a sealed chamber and then exposed to progressively higher doses of isoflurane vapour. This process met humane euthanasia standards while reducing pain and suffering12.
| Table 1: | Grouping and experimental diet composition | |||
| Group | Treatment and dosage/day | Label |
| A | Control (standard feed only) | CTRL |
| B | Feed mixed with blended (non-irradiated) tomatoes | FBT |
| C | Feed mixed with blended tomatoes irradiated at 65 KV, 25 current | FBT65/25 |
| D | Feed mixed with blended tomatoes irradiated at 70 KV, 30 current | FBT70/30 |
| E | Feed mixed with blended tomatoes irradiated at 75 KV, 40 current | FBT75/40 |
| F | Feed mixed with blended tomatoes irradiated at 80 KV, 50 current | FBT80/50 |
Blood collection: Blood samples were taken via heart puncture, which were then placed in EDTA and plain sample bottles. To separate plasma and serum, samples in EDTA and plain bottles were centrifuged for 15 min at 3000×g rpm13. For further examination, all of the samples were kept at -20°C14.
Collection of tissues: Following the dissection, the kidney and heart tissues were removed, rinsed with 1.15 percent KCl, blotted, weighed, and homogenized with phosphate buffer15. The homogenized tissue was centrifuged at 3000×g rpm, and the supernatant was decanted and stored at -20°C until analysis time.
Blood pressure (BP) measurement: After receiving intramuscular anaesthesia, the rats were carefully placed on a sanitized board in a supine position. Systolic pressure, diastolic pressure, and the mean arterial pressure were calculated by the protocols described by Oloyo et al.16.
Measurement of lipid profile: A Hitachi 912 autoanalyzer was used to measure the blood serum’s lipid concentrations of HDL, LDL, triglycerides, and cholesterol. Triglycerides and cholesterol were measured using enzyme-colorimetry methods, specifically Glycerol-3-Phosphate Oxidase-Peroxidase (GPO-POD) and Cholesterol Oxidase-Peroxidase (CHOD-POD)17. The direct enzyme-colorimetric approach was used to determine LDL and HDL18. The formula TG/5 was used to determine the amount of Very Low-Density Lipoprotein (VLDL) cholesterol19.
Malondialdehyde (MDA) ASSAY: As previously reported by Tsikas20, a Thiobarbituric Acid-Reactive Substance (TBARS) assay was used to evaluate the amounts of malondialdehyde (MDA). When MDA and 2-thiobarbituric acid (TBA) combine in an acidic environment, a pink chromogen is formed. This chromogen was detected with a spectrophotometer at 532 nm. Trichloroacetic Acid (TCA) was used to denature the sample’s protein content before centrifugation. TBA was used to heat the resultant supernatant for 20 min at 100°C in a water bath. The samples’ absorbance was noted, and a reference curve was used to calculate the MDA levels.
Kidney tissue oxidative stress assays
Superoxide dismutase activity (SOD): The Misra and Fridovich21 method was used to evaluate the superoxide dismutase (SOD) activity in tissue samples. Superoxide dismutase’s suppression of adrenaline auto-oxidation at pH 10.2 is the basis for this experiment.
Glutathione antioxidant system assays
Cardiac tissue reduced Glutathione (GSH) concentration: The technique created by Owens and Belcher22, was used to measure the amount of reduced Glutathione (GSH) in heart tissue. Samples of tissue were centrifuged and homogenised. After treating the resultant supernatant with sulfosalicylic acid to precipitate proteins, Ellman’s reagent was added, and the absorbance at 412 nm was measured to determine the GSH content.
Cardiac tissue glutathione peroxidase (GPx) activity: Rotruck et al.23 described a method for measuring glutathione peroxidase (GPx) activity in heart tissue. Absorption was measured at 412 nm after the tissue homogenate was treated with 5'-5'-dithiobis-(2-dinitrobenzoic acid) (DTNB). The remaining GSH concentration was used to compute GPx activity using a standard curve.
Cardiac tissue glutathione-s-transferase (GST) activity: Using the Gronwald et al.24 approach, the activity of glutathione-S-transferase (GST) in heart tissue was assessed. By tracking the conjugation of 1-chloro-2,4-dinitrobenzene with reduced glutathione, the GST activity was measured. After being incubated for 60 sec at 37°C, absorbance was measured at 340 nm.
Cardiac tissue inflammatory marker assays
Evaluation of heart markers: Creatine Kinase (CK-MB), Lactate Dehydrogenase (LDH) were assayed using Agappe diagnostic rat kits for each marker, with Troponin I (cTnI) assayed using a micro rat ELISA Troponin I kit. All assays were carried out according to the manufacturers’ protocols.
Assay of Interleukin-6, TNF-alpha, and C-reactive protein: Interleukin-6, TNF alpha, and C-reactive protein were measured from a heart and kidney tissue homogenate using the enzyme-linked immunosorbent assay (ELISA) technique (Elabscience, Wuhan, China). The assay methods followed the guidelines provided by the manufacturers.
Histology of the kidney: Haematoxylin and Eosin (H and E) staining was used on the kidney tissue slices that were made from paraffin-embedded blocks25. A digital light microscope was then used to analysis and take pictures of the dyed heart tissue slices at various magnification settings.
Statistical analysis: The Mean±SD of five separate measurements was used to present the results. The associations between the variable means were examined using a One-way Analysis of Variance (ANOVA). A post hoc analysis of the data was performed using Tukey’s Multiple Comparison Test to identify statistically significant differences among all the variables. All statistical computations were performed using the most recent version of GraphPad Prism 7.0. Differences with p<0.05 were considered statistically significant.
RESULTS
Impact of gamma-irradiated tomatoes (Solanum lycopersicum) on the organ weight
Cardiac weight: When compared to the control group, the administration of both non-irradiated and gamma-irradiated Solanum lycopersicum at different radiation doses significantly decreased cardiac weight (p<0.05, Fig. 1). Rats given FBT80/50 did not, however, exhibit a discernible difference in heart weight when compared to the control group.
Kidney weight: Rats given non-irradiated and gamma-irradiated Solanum lycopersicum at different radiation doses showed significantly lower renal weight (p<0.05) than the control group (Fig. 2).
Impact of gamma-irradiated tomatoes (Solanum lycopersicum) on the serum lipid profile and atherogenic indices: Its given FBT80/50 showed significantly higher levels of low-density lipoprotein and total cholesterol than the control and all other treated groups (Table 2). The FBT65/25 group showed a substantial rise in triglyceride levels when compared to all other treatment groups (Table 2), but no significant variations were found in high-density lipoprotein concentrations across all treated groups (Table 2).
Rats treated with FBT80/50 showed a significantly higher Castelli’s Risk Index-I (CRI-I) than both the control group and FBT70/50 (Table I). Furthermore, when compared to the control group, the Castelli’s Risk Index-II (CRI-II) significantly increased in all groups treated with irradiation tomatoes (Table 2). In comparison to all other irradiation tomato-treated groups, rats treated with FBT65/25 showed a noticeably greater CRI-II (Table 2). Comparing FBT65/25 and FBT80/50 to the control and every other treatment group, significant increases in the atherogenic coefficient (AC) were also noted (Table 2). Nevertheless, the Atherogenic Index of Plasma (AIP) did not significantly alter in any of the treated groups (Table 2).
|
|
| Table 2: | Impact of gamma-irradiated tomatoe (Solanum lycopersicum) on the serum lipid profile | |||
| Group | TAG (mg/dL) | HDL (mg/dL) | TC (mg/dL) | LDL (mg/dL) |
| CTRL | 81.29±10.18 | 68.83±6.57 | 127.9±6.73 | 86.80±14.58 |
| FBT | 100.7±14.68 | 56.91±7.84 | 126.9±9.08 | 62.94±9.61 |
| FBT65/25 | 130.2±12.69 | 49.80±7.34a | 161.7±7.05 | 97.61±8.96 |
| FBT70/30 | 118.2±21.16 | 67.07±11.77 | 157.5±5.28 | 81.55±8.06 |
| FBT75/40 | 72.31±4.32cd | 62.60±11.38 | 138.8±19.06 | 76.56±4.98 |
| FBT80/50 | 86.77±9.56 | 56.30±7.22 | 218.4±28.5abcde | 134.1±18.20abcde |
| Values are Mean±SEM, (a) Significantly (p<0.05) when compared to CTRL, (b) Significantly (p<0.05) when compared to FBT, (c) Significantly (p<0.05) when compared to FBT65/25, (d) Significantly (p<0.05) when compared to FBT70/30 and (e) Significantly (p<0.05) when compared to FBT75/40 | ||||
Impact of gamma-irradiated tomatoes (Solanum lycopersicum) on serum urea, creatinine, and electrolytes
Serum urea concentration: Serum urea concentrations were considerably elevated after administering feed containing gamma-irradiated tomatoes as opposed to the control group and feed containing blended tomatoes that were not irradiated. Additionally, compared to all other gamma-irradiated groups, rats fed a diet containing blended tomatoes that had been gamma-irradiated at FBT65/25 had a noticeably greater serum urea concentration (Fig. 3).
|
|
| Table 3: | Serum electrolytes concentrations of rats treated with gamma-irradiated Solanum lycopersicum | |||
| Group | Na+ (mmoL/L) | K+ (mmoL/L) | Cl- (mmoL/L) | HCO3- (mmoL/L) |
| FBT | 113.9±3.64a | 2.963±0.72a | 88.42±0.70a | 26.18±1.68a |
| FBT65/25 | 134.2±3.99 | 4.212±0.15ab | 91.16±1.72 | 26.73±2.04a |
| CTRL | 141.2±2.57 | 3.470±0.10 | 92.48±1.06 | 16.97±1.36 |
| FBT70/30 | 111.7±9.80ac | 4.224±0.10ab | 89.25±0.70 | 25.69±2.58a |
| FBT75/40 | 148.0±8.53cd | 2.260±0.29abcd | 89.49±4.23 | 30.50±1.38ad |
| FBT80/50 | 123.6±3.43e | 4.115±0.20be | 83.95±3.55ace | 31.23±2.202abd |
| Values are Mean±SEM, (a) Significantly (p<0.05) when compared to CTRL, (b) Significantly (p<0.05) when compared to FBT, (c) Significantly (p<0.05) when compared to FBT65/25, (d) Significantly (p<0.05) when compared to FBT70/30 and (e) Significantly (p<0.05) when compared to FBT75/40 | ||||
|
Serum creatinine concentration: When compared to the control group, feed mixed with non-irradiated blended tomatoes (FBT), and all other gamma-irradiated groups, the administration of feed mixed with gamma-irradiated tomatoes at FBT80/50 significantly raised the serum creatinine levels (Fig. 4).
Serum electrolytes: Rats exposed to gamma-irradiated Solanum lycopersicum showed concentrations of sodium (Na) in the FBT70/40 group of 148.0±8.53 in the FBT75/40 group, while the concentration in the control (CTRL) group was 141.2±2.57. Potassium (K) levels were lowest in the FBT75/40 group and highest in the FBT70/30 group, while the amounts of chloride (Cl) remained relatively constant across groups. Bicarbonate (HCO) levels were significantly higher in all treated groups, with the FBT80/50 group having the highest level in comparison to the control (16.97±1.36). (Table 3).
Impact of gamma-irradiated to matoes (Solanum lycopersicum) on cardiovascular parameters
Blood pressures: Table 4 shows that when feed mixed with blended tomatoes (FBT) was administered, the systolic, diastolic, and mean arterial blood pressures were significantly lower than those of the control group and the FBT65/25 treatment group. This implies that adding blended tomatoes to one’s diet might have a hypotensive impact, lowering blood pressure. Remarkably, compared to rats treated with FBT and FBT65/25, rats treated with gamma-irradiated tomatoes at a concentration of FBT70/30 showed a large and significant increase (p<0.05) in systolic blood pressure together with a drop in diastolic blood pressure.
Impact of gamma-irradiated tomato (Solanum lycopersicum) on the renal tissue oxidative stress markers
Kidney tissues lipid peroxidation: Lipid peroxidation levels in kidney tissue were significantly lower in the non-irradiated (FBT) and irradiated (FBT65/25) Solanum lycopersicum groups than in the control group, suggesting that they have a protective effect against oxidative stress (Fig. 5). However, a distinct trend surfaced when comparing the impacts of several irradiation tomato treatments. In comparison to rats treated with FBT65/25, rats treated with larger concentrations of irradiated tomatoes-FBT70/30, FBT75/40, and FBT80/50 showed noticeably higher levels of lipid peroxidation in kidney tissue (Fig. 5).
|
|
Kidney tissues superoxide-dismutase (SOD): When compared to the control group, the administration of either non-irradiated (FBT) or irradiated (FBT65/25) Solanum lycopersicum did not substantially change the activity of superoxide dismutase (SOD) in kidney tissue (Fig. 6). However, compared to the control, FBT, and FBT65/25 groups, rats fed with irradiation tomatoes at greater concentrations-FBT70/30, FBT75/40, and FBT80/50-showed a significant decrease in SOD activity (Fig. 6). There was a significant link between rising radiation levels and this dose-dependent decline in SOD activity (Fig. 6).
Kidney tissues reduced glutathione: When compared to the control group, the administration of both irradiated (FBT65/25) and non-irradiated (FBT) Solanum lycopersicum considerably increased reduced glutathione (GSH) activities in kidney tissues, indicating increased antioxidant capacity (Fig. 7). However, treatment with irradiation tomatoes at all dosages, including FBT65/25, FBT70/30, FBT75/40, and
|
|
FBT80/50, significantly decreased kidney tissue GSH activity compared to the FBT group. Rats treated with FBT70/30 exhibited significantly lower GSH activity than those treated with FBT65/25 among the irradiation groups. A possible dose-dependent recovery of antioxidant function at higher irradiation levels is suggested by the fact that rats treated with FBT80/50 showed higher GSH activity in their renal tissues than rats treated with FBT70/30 and FBT75/40 (Fig. 7).
Impact of gamma-irradiated Solanum lycopersicum on the kidney inflammatory markers
Kidney Tumor Necrotic Factor-Alpha (TNF-α): Both the non-irradiated (FBT) and gamma-irradiated Solanum lycopersicum groups showed considerably lower levels of Tumour Necrosis Factor-Alpha (TNF-α) in kidney tissue when compared to the control group. This suggests that the tomato treatments may have an anti-inflammatory impact (Fig. 8). However, there was a noticeable and substantial rise in TNF-α (Fig. 8). This implies that whereas gamma-irradiated tomatoes may reduce inflammation at lower concentrations, greater amounts like those in the FBT80/50 group may increase inflammatory responses in kidney tissues. (Fig. 8).
|
|
Kidney cytokines interleukin-6: Rats treated with both non-irradiated (FBT) and gamma-irradiated Solanum lycopersicum showed considerably lower levels of interleukin-6 (IL-6) in kidney tissue than the control group. The FBT65/25 group, however, had a noticeably larger concentration than the FBT, FBT75/40, and FBT80/50 groups, indicating a considerable variation in IL-6 levels between treatment groups (Fig. 9).
|
|
Impact of gamma-irradiated Solanum lycopersicum on the renal tissue apoptotic marker
Kidney caspase-3 activities: In comparison to the control, FBT65/25, FBT75/40, and FBT80/50 groups, the administration of non-irradiated (FBT) and gamma-irradiated Solanum lycopersicum (FBT70/30) markedly increased kidney caspase-3 activity (Fig. 10). In contrast to the control, FBT, and every other gamma-irradiated tomato-treated group, the FBT80/50 group showed a notable decrease in caspase-3 activity (Fig. 10).
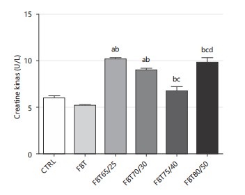
Impact of gamma-irradiated Solanum lycopersicum on cardiac injury markers creatine kinase, lactate dehydrogenase, and troponin: In comparison to the control and the non-irradiated group (FBT), the administration of gamma-irradiated Solanum lycopersicum (FBT/65/25, FBT70/30, FBT75/40, and FBT80/50) exhibited varying effects on cardiac damage markers, such as creatine kinase (CK) (Fig. 11), Lactate Dehydrogenase (LDH) (Fig. 12), and troponin. (Fig. 13) Specifically, all the gamma-irradiated groups showed a noteworthy increase (p<0.05) in troponin, LDH, and CK levels. It’s interesting to note that the FBT80/50 group had significantly higher levels (p<0.05) of CK, LDH, and troponin than the control and other gamma-irradiated groups.
|
Histology of the kidney: Histological examination of the treated rats’ kidney tissue showed unique characteristics of the renal structure, such as sections of the renal corpuscle and renal tubules. As seen in Fig. 14(a-f) distinct Bowman’s space divides the renal corpuscle from the glomerulus, which houses podocytes. The interstitium in the control, FBT, FBT70/30, and FBT80/50 groups was free of anomalies such as collections or congestion, and it divided the renal tubules in a way that was in line with the architecture of normal renal tissue. This implies that the kidney’s histology was not significantly altered by these treatments. However, a circle indicates the presence of mild interstitial congestion in the FBT65/25 and FBT75/40 groups.
DISCUSSION
Food-borne illnesses that seriously impair a society’s health and economic structures can be avoided by using radiation treatment to treat food. Some customers are still hesitant to accept irradiated foods, despite the fact that the safety of using this technology to treat food has been well established and is strictly monitored26. As the standard for sterilising astronaut food, high doses are also used to sterilise food, which is crucial for those with compromised immune systems. Insect disinfection, spice treatment, potato sprouting inhibition, and pathogen decontamination for food safety are only a few of the applications for food irradiation that have undergone extensive testing at various dose exposure levels27.
Organ weight can be used to measure organ toxicity, according to a number of studies27. In rats exposed to gamma-irradiated tomatoes at different doses, these results demonstrate a significant drop in both cardiac and renal weights, suggesting possible tissue disintegration as a result of altered metabolism. These morphological markers’ decline points to atrophy, which is linked to toxicity and compromised organ function. Elevated levels of cardiac troponin, creatinine kinase, and lactate dehydrogenase (LDH) indicated compromised cardiac function in conjunction with the loss of cardiorenal mass. Elevated levels
of serum urea, creatinine, chloride, and total protein further suggested that renal function was impaired28. These findings suggest the cardioreno-toxic effects of gamma-irradiated tomatoes. Moreover, the study revealed dyslipidemia and increased atherogenic indices, further contributing to the potential cardiovascular and renal damage.
The observed alterations in tissue architecture could be explained by the disruption of metabolic processes in the heart, which is shown by elevated cardiac LDH activity. Lactate and NADH are produced when LDH catalyses the interconversion of pyruvate to lactate and NADH to NAD+. This reaction is sped up by NADH binding to LDH29. A pathogenic cycle involving creatinine kinase and troponin I release is reinforced when NADH and lactate build up in circumstances such as cardiorenal abnormalities, which causes a depletion of NAD+30. During acute cardiac dysfunction, elevated levels of cardiac markers such as creatine kinase and troponins are suggestive of myocardial injury30. Elevated serum cholesterol and LDL levels after exposure to gamma-irradiated tomatoes indicate changes in lipid metabolism, which may raise the risk of cardiovascular and renal illnesses, even though there were no discernible changes in serum triglycerides or HDL levels.
Renal dysfunction is further suggested by electrolyte imbalances, which are indicated by changes in sodium and potassium concentrations. An imbalance between sodium and potassium, which are necessary for muscular contraction, might worsen renal impairment and affect muscle function31. According to Dhondup and Qian32, decreased potassium and sodium concentrations, along with changed bicarbonate levels, indicate renal failure and impaired kidney function. Increased serum potassium, salt, and bicarbonate levels, as well as urea, support the nephrotoxic effects of tomatoes exposed to gamma radiation32.
Following exposure to gamma-irradiated tomatoes, the electrocardiogram showed changes in heart rate, longer PR and QT intervals, and elevated blood pressure, all of which suggested additional impairment of cardiac function. Important markers of cardiac health are the QT interval, which shows the time for heart contraction and refilling, and the PR interval, which shows the interval between atrial and ventricular depolarization. Higher pulse pressure is a powerful predictor of cardiovascular events, especially in elderly populations, and both systolic and pulse pressures are recognized risk factors for cardiovascular collapse33.
The levels of MDA, SOD, and GSH did not very much, while the concentration of the cytokine interleukin 6 rise. An imbalance between the production of reactive oxygen species (ROS) and intracellular ROS scavenging activity results in oxidative stress. There have been reports of elevated oxidative stress after gamma irradiation, but no research has looked at how it affects the rat heart. By generating oxidized glutathione (GSSG) and other sulphides, reduced glutathione (GSH) scavenges reactive oxygen species (ROS). Glutathione reductase (GR) mediates the conversion of GSSG to GSH, and elevated oxidative stress stimulates the production and outflow of GSSG34. In the pentose phosphate pathway, Glucose-6-Phosphate Dehydrogenase (G6PD) provides the reduced form of Nicotinamide Adenine Dinucleotide Phosphate (NADPH), which is necessary for this reaction34. Reduced G6PD activity and a resulting drop in NADPH availability are most likely the causes of the drop in GSH activity.
While catalase transforms H2O2 into water and molecular oxygen, SOD catalyses the dismutation of superoxide radicals into H2O2 and dioxygen. Thus, a strong antioxidant defence against oxidative stress is suggested by the overall rise in glutathione indices, SOD, and catalase activity. The mechanism by which gamma-irradiated tomatoes generate inflammation appears to be independent of these antioxidant defence pathways, as evidenced by the observed rise in cytokine interleukin 6-dependent inflammation without substantial changes in SOD, glutathione, or MDA levels. The severe oxidative stress probably causes inflammation that is dependent on interleukin 6.
By blocking GSK-3β-mediated phosphorylation through the NF-κB and Akt signaling pathways, Tumour Necrosis Factor Alpha (TNF-α) causes Snail and β-catenin to stabilize. By attaching many adaptor proteins to the ligand-bound receptor complex, TNF-α triggers NF-κB, which in turn attracts and activates IKK. A powerful cytokine, interleukin 1 beta (IL-1β) stimulates inflammation by activating the transcription factor NF-κB. The injection of gamma-irradiated tomatoes in this study led to a rise in inflammation. Dinarello et al.35 claim that increasing the production of TNF-α and IL-1β reduces NF-κB signaling and promotes caspase 3-dependent apoptosis. Caspases, which are produced as pro-enzymes in response to both internal and external stimuli, are essential mediators of apoptosis. The most significant effector caspase, caspase 3, is frequently utilized as a marker of the death cascade and is activated as a characteristic of apoptosis. The results of this investigation showed that testicular caspase 3 activity was elevated in tomatoes exposed to gamma radiation. It is well recognised that CAD causes chromatin condensation and chromosomal DNA degradation, which leads to DNA fragmentation and cell death. Thus, it may be said that caspase-activated DNase I (CAD) caused caspase 3-like protease activity in response to the observed rise in interleukin 6-dependent inflammation.
According to the study’s findings, gamma-irradiated Solanum lycopersicum has different effects on cardiac injury markers. All gamma-irradiated groups showed significantly higher levels of creatine kinase (CK), Lactate Dehydrogenase (LDH), and troponin than the control and non-irradiated group (FBT). These increases imply that gamma radiation might change the tomato extract’s bioactive ingredients, which could lessen its cardioprotective qualities. This is consistent with other research showing that gamma irradiation can alter the chemical makeup of plant bioactives, sometimes resulting in decreased effectiveness9. These alterations may disrupt the systems that typically guard against heart injury, underscoring the necessity of carefully regulating radiation dosages when developing such therapies.
The FBT80/50 group’s markedly elevated levels of CK, LDH, and troponin imply that the maximal radiation dose would worsen rather than lessen heart damage. This might be the consequence of the tomato extract’s advantageous phytochemicals degrading too much or changing structurally. The negative effects shown at this dose may be explained by research showing that high doses of gamma irradiation might cause oxidative stress or affect the functionality of bioactive substances. Finding the ideal radiation level to maintain or improve cardioprotective qualities is crucial, as our results highlight the dose-dependent complexity of gamma-irradiated Solanum lycopersicum.
The results may not be as broadly applicable as they could be because this study only used male Wistar rats, which may not accurately reflect sex-specific physiological reactions to gamma-irradiated Solanum lycopersicum. Furthermore, the study did not assess the cumulative or long-term effects of chronic consumption; instead, it concentrated on short-term exposure. Although histological, biochemical, and inflammatory parameters were evaluated, the molecular mechanisms underlying the observed changes in the heart were not thoroughly investigated.
CONCLUSION
The results of this investigation into the dose-dependent toxicological evaluations of tomatoes (Solanum lycopersicum) exposed to gamma radiation demonstrate the substantial effect of irradiation on the functions of the heart in male Wistar rats. Higher doses of gamma irradiation were linked to negative consequences, such as oxidative stress, inflammation, and changes in renal and cardiovascular indicators, but low-dose irradiation showed possible protective effects. The findings highlight how important it is to weigh the advantages of irradiation for food preservation against any possible biological hazards. The significance of additional study to investigate underlying mechanisms and long-term repercussions for human health is highlighted by our findings, which offer a fundamental understanding of the safe consumption levels for irradiated tomatoes.
REFERENCES
- Tucker, K.L., J.P. Sheppard, R. Stevens, H.B. Bosworth and A. Bove et al., 2017. Self-monitoring of blood pressure in hypertension: A systematic review and individual patient data meta-analysis. PLoS Med., 14.
- Boehm, J.K., 2021. Positive psychological well-being and cardiovascular disease: Exploring mechanistic and developmental pathways. Social Personality Psychol. Compass, 15.
- Ronco, C., P.A. McCullough, S.D. Anker, I. Anand and N. Aspromonte et al., 2010. Cardiorenal Syndromes: An Executive Summary from the Consensus Conference of the Acute Dialysis Quality Initiative (ADQI). In: Contributions to Nephrology, Ronco, C., R. Bellomo and P.A. McCullough (Eds.), S. Karger AG, Basel, Switzerland, ISBN: 978-3-8055-9473-8, pp: 54-67.
- Goffredo, G., R. Barone, V. di Terlizzi, M. Correale, N.D. Brunetti and M. Iacoviello, 2021. Biomarkers in cardiorenal syndrome. J. Clin. Med., 10.
- Bhatnagar, P., P. Gururani, B. Bisht, V. Kumar, N. Kumar, R. Joshi and M.S. Vlaskin, 2022. Impact of irradiation on physico-chemical and nutritional properties of fruits and vegetables: A mini review. Heliyon, 8.
- Jadhav, H.B., U.S. Annapure and R.R. Deshmukh, 2021. Non-thermal technologies for food processing. Front. Nutr., 8.
- Odukoya, O.O., O. Odediran, C.R. Rogers, F. Ogunsola and K.S. Okuyemi, 2022. Barriers and facilitators of fruit and vegetable consumption among Nigerian adults in a faith-based setting: A pre-intervention qualitative inquiry. Asian Pac. J. Cancer Prev., 23: 1505-1511.
- di Daniele, N., A. Noce, M.F. Vidiri, E. Moriconi and G. Marrone et al., 2017. Impact of Mediterranean diet on metabolic syndrome, cancer and longevity. Oncotarget, 8: 8947-8979.
- Mshelia, R.D.Z., N.I. Dibal and S.M. Chiroma, 2023. Food irradiation: An effective but under-utilized technique for food preservations. J. Food Sci. Technol., 60: 2517-2525.
- Zaki, S.A., W.S.M. Amin and H.M. Nagi, 2014. The functional role of tomato and carrot on histopathological lesions of brain, small intestine and prostate in mice treated with acrylamide. Integr. Food Nutr. Metab., 1: 114-118.
- Sombo, T., B.T. Hanmeza and A.A. Tyovenda, 2023. The effect of x-irradiation on the shelf life and proximate composition of some varieties of tomatoes commonly grown in Benue State, Nigeria. Radiat. Sci. Technol., 9: 13-21.
- Leary, S., W. Underwood, R. Anthony, S. Cartner and T. Grandin, 2020. AVMA Guidelines for the Euthanasia of Animals: 2020 Edition. American Veterinary Medical Association, Schaumburg, IL., ISBN: 978-1-882691-09-8, Pages: 121.
- Igbayilola, Y.D., F.A. Olaoye, O.S. Aina, M.A. Ashiru and A.M. Mofolorunso, 2021. Antioxidant, hypolipidaemic and heptoprotective potentials of perinatal Thaumatococcus daniellii leaf supplemented diet in male offspring of Sprague-Dawley rats. J. Afr. Assoc. Physiol. Sci., 9: 95-104.
- Igbayilola, Y.D., W.A. Saka, O.S. Aina, A.M. Mofolorunso, A.O. Oyabambi and A.O. Morakinyo, 2020. Adverse effect of graded ciprofloxacin oral intake in male Sprague-Dawley rats. J. Afr. Assoc. Physiol. Sci., 8: 62-70.
- Dimeji, I., A. Kayode, O.S. Aina and A. Ikponmwosa, 2022. Role of in-utero neem leaf (Azadirachta indica) supplemented diet on some hematological parameters and glucose storage in offspring of Wistar rats. Int. J. Curr. Res. Physiol. Pharmacol., 6: 1-7.
- Oloyo, A.K., N.O.A. Imaga, Y. Fatope and O.A. Sofola, 2019. Sex differences in cardiac and renal responses to a high salt diet in Sprague-Dawley rats. Heliyon, 5. https://doi.org/10.1016/j.heliyon.2019.e01665
- Fossati, P. and L. Prencipe, 1982. Serum triglycerides determined colorimetrically with an enzyme that produces hydrogen peroxide. Clin. Chem., 28: 2077-2080.
- Noyes, A.M. and P.D. Thompson, 2017. The effects of statins on exercise and physical activity. J. Clin. Lipidol., 11: 1134-1144.
- Friedewald, W.T., R.I. Levy and D.S. Fredrickson, 1972. Estimation of the concentration of low-density lipoprotein cholesterol in plasma, without use of the preparative ultracentrifuge. Clin. Chem., 18: 499-502.
- Tsikas, D., 2017. Assessment of lipid peroxidation by measuring malondialdehyde (MDA) and relatives in biological samples: Analytical and biological challenges. Anal. Biochem., 524: 13-30.
- Misra, H.P. and I. Fridovich, 1972. The role of superoxide anion in the autoxidation of epinephrine and a simple assay for superoxide dismutase. J. Biol. Chem., 247: 3170-3175.
- Owens, C.W.I. and R.V. Belcher, 1965. A colorimetric micro-method for the determination of glutathione. Biochem. J., 94: 705-711.
- Rotruck, J.T., A.L. Pope, H.E. Ganther, A.B. Swanson, D.G. Hafeman and W.G. Hoekstra, 1973. Selenium: Biochemical role as a component of glutathione peroxidase. Science, 179: 588-590.
- Gronwald, J.W. and K.L. Plaisance, 1998. Isolation and characterization of glutathione S-transferase isozymes from sorghum. Plant Physiol., 117: 877-892.
- Feldman, A.T. and D. Wolfe, 2014. Tissue Processing and Hematoxylin and Eosin Staining. In: Histopathology: Methods and Protocols, Day, C.E. (Ed.), Springer, New York, ISBN: 978-1-4939-1050-2, pp: 31-43.
- Castell-Perez, M.E. and R.G. Moreira, 2021. Irradiation and Consumers Acceptance. In: Innovative Food Processing Technologies: A Comprehensive Review, Knoerzer, K. and K. Muthukumarappan (Eds.), Elsevier, Amsterdam, Netherlands, ISBN: 978-0-12-815782-4, pp: 122-135.
- Andersen, V., 2020. Genetically Modified and Irradiated Food: Controversial Issues: Facts Versus Perceptions. Academic Press, Amsterdam, Netherlands, ISBN: 978-0-12-817240-7.
- dos Reis, A., E.O. Cunha, M.T.C. Valle, M.S. Machado and E. Dallegrave, 2022. Effects of subchronic inhalation exposure to an organophosphorus insecticide compound containing dichlorvos on Wistar rats’ otoacoustic emissions. Braz. J. Otorhinolaryngology, 88: 28-35.
- Ooi, S.B.S., Y.T. Lim, T.C. Lau, B.L. Chia, S. Pillai and T. Liu, 2000. Value of troponin-T rapid assay, cardiac enzymes, electrocardiogram and history of chest pain in the initial diagnosis of myocardial infarction in the emergency department. Eur. J. Emerg. Med., 7: 91-98.
- Beamish, D., T. Maniuk, M. Mukarram and V. Thiruganasambandamoorthy, 2021. Role of creatine kinase in the troponin era: A systematic review. West. J. Emerg. Med.: Integr. Emerg. Care Popul. Health, 22: 1291-1294.
- Zhang, Y., Y. Cao, Y. Xin and Y. Liu, 2024. Significance of detecting cardiac troponin I and creatine kinase MB in critically Ill children without primary cardiac illness. Front. Pediatr., 12.
- Molla, M.D., M. Degef, A. Bekele, Z. Geto and F. Challa et al., 2020. Assessment of serum electrolytes and kidney function test for screening of chronic kidney disease among Ethiopian Public Health Institute staff members, Addis Ababa, Ethiopia. BMC Nephrol., 21.
- Dhondup, T. and Q. Qian, 2017. Electrolyte and acid-base disorders in chronic kidney disease and end-stage kidney failure. Blood Purif., 43: 179-188.
- Deo, R., H. Shou, E.Z. Soliman, W. Yang and J.M. Arkin et al., 2016. Electrocardiographic measures and prediction of cardiovascular and noncardiovascular death in CKD. J. Am. Soc. Nephrol., 27: 559-569.
- Dinarello, C.A., 2018. Overview of the IL-1 family in innate inflammation and acquired immunity. Immunol. Rev., 281: 8-27.
How to Cite this paper?
APA-7 Style
Adeoye,
S.W., Smson,
A.O., Yusuff,
I.D., Jabba,
H.L., Murtala,
N., Muhammed,
Z.B., Ayodeji,
A.S., Samson,
A.O. (2025). Toxicological Assessment of Gamma-Irradiated Tomatoes (Solanum lycopersicum) on Cardiorenal Functions in Male Wistar Rats. Trends in Pharmacology and Toxicology, 1(1), 86-102. https://doi.org/10.21124/tpt.2025.86.102
ACS Style
Adeoye,
S.W.; Smson,
A.O.; Yusuff,
I.D.; Jabba,
H.L.; Murtala,
N.; Muhammed,
Z.B.; Ayodeji,
A.S.; Samson,
A.O. Toxicological Assessment of Gamma-Irradiated Tomatoes (Solanum lycopersicum) on Cardiorenal Functions in Male Wistar Rats. Trends Pharm. Toxicol. 2025, 1, 86-102. https://doi.org/10.21124/tpt.2025.86.102
AMA Style
Adeoye
SW, Smson
AO, Yusuff
ID, Jabba
HL, Murtala
N, Muhammed
ZB, Ayodeji
AS, Samson
AO. Toxicological Assessment of Gamma-Irradiated Tomatoes (Solanum lycopersicum) on Cardiorenal Functions in Male Wistar Rats. Trends in Pharmacology and Toxicology. 2025; 1(1): 86-102. https://doi.org/10.21124/tpt.2025.86.102
Chicago/Turabian Style
Adeoye, Saka, Waidi, Awoyinfa Oluseyi Smson, Igbayilola Dimeji Yusuff, Hamidu Lawan Jabba, Ngabea Murtala, Zakari Baba Muhammed, Adekola Saheed Ayodeji, and Aina Olawale Samson.
2025. "Toxicological Assessment of Gamma-Irradiated Tomatoes (Solanum lycopersicum) on Cardiorenal Functions in Male Wistar Rats" Trends in Pharmacology and Toxicology 1, no. 1: 86-102. https://doi.org/10.21124/tpt.2025.86.102

This work is licensed under a Creative Commons Attribution 4.0 International License.


